Multidisciplinární odborný časopis Cognitive Science před nedávnem publikoval studii zaměřenou na strach ze smrti u různých etnicko-náboženských skupin, konkrétně u nevěřících lidí na Západě, hinduistů, křesťanů, laických Tibeťanů a Bhútáňanů a tibetských buddhistických mnichů. Výzkum je součástí projektu studujícího, jak v různých kulturách rozdílné chápání lidského já ovlivňuje prožívání smrtelnosti. Prováděli jej vědci z několika akademických institucí včetně indické Central University for Tibetan Studies.
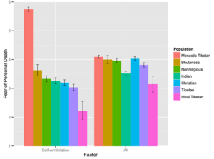
Výzkumníci předpokládali, že praktikující buddhisté, kteří místo o duši či já schopného existence mimo tělo nebo mysl hovoří o „ne-já“ a „vyhasnutí“, budou projevovat nižší míru strachu ze smrti než ostatní: „Jakmile uznáme, že v průběhu života neexistuje žádné bytostné já [self], strach ze smrti by měl být zmírněn, jelikož byl podlomen samotný jeho základ.“
Byli proto překvapeni, že výsledek testu skládající se z několika otázek ukázal pravý opak: „K našemu překvapení tibetští buddhističtí mniši vykázali významně vyšší strach ze smrti než jakákoliv jiná skupina.“ Mniši byli např. nejméně ochotni připustit, že by v hypotetické situaci zkrátili o půl roku svůj život, i kdyby tím jinému pomohli prodloužit jeho život o pět let: Výrazná většina (72 %) uvedla, že by to neudělala.
Autoři studie si uvědomují limity své práce. Není podle nich jasné, zda se výsledky týkají buddhistů obecně, buddhistů tibetských nebo jen komunity, která se výzkumu zúčastnila.
Atwood, „Study suggests Tibetan Buddhist monastics have an above-average fear of death,“ Lion’s Roar, 22. 1. 2018, online zde.
Související příspěvky:
Dalajlama má svou aplikaci, avšak varuje před diktátem moderních technologií (zde)
